Cs. Kádár Péter - XXI. századi Diszkónika, 218. A végtelen vége
Ki tudnád számítani, mennyi idő kell ahhoz, hogy a Föld méretével megegyező, folyékony gömb kihűljön? Gondolom, nem. Pedig már a 19. század elején kiszámolta ezt egy szegény családból származó fizikus-matematikus, Jean-Baptiste Joseph Fourier. Azonban olyan valószínűtlennek tartotta a százmillió évet, hogy nem merte eredményét nyilvánosságra hozni, sőt, meg is semmisítette a számításait.
Fourier az egyik megteremtője volt a matematikai fizikának, annak a tudománynak, amely a matematikai módszerek alkalmazásakor figyelembe veszi a fizikai valóságot is, vagyis nem csupán azt vizsgálja, hogy egy matematikai tétel milyen matematikai feltételek között teljesül, hanem azt is, hogy milyen fizikai körülmények között van értelme egy matematikai eljárás használatának. Megfordítva: egy fizikai jelenség leírásához, a fizikai törvény határainak megállapításához milyen matematikai eszközök, ahogy tudósilag mondani szokták, milyen matematikai apparátus használata a legalkalmasabb.
A fenti példának azért van köze e rész témájához, mert van egy közkeletű tévedés, ami úgy szól, hogy minden nem véletlenszerűen változó, tehát nem zaj jellegű függvény – esetünkben rezgés – előállítható szinuszos függvények összegeként. Ezt a matematikai tételt Fourier fogalmazta meg. Valójában, ő először ennek az ellenkezőjét állította, nevezetesen azt, hogy minden nem zaj jellegű függvény felbontható szinuszos összetevőkre. Később matematikusok sokasága bizonyította be, hogy ez a tétel nem minden függvényre érvényes még a matekon belül sem, de a mi szempontunkból ez lényegtelen, mert a zajmentes hangrezgések függvényeire matematikai értelemben mindig igaz.
Innentől kicsit szokatlan lesz a fejtegetésem, de ha gondolkodsz, és te olyan vagy, akkor nem lesz gond.
Tegyük hát föl, hogy van egy tetszőleges, zajmentes hangjelenség! E hangjelenség minden egyes időpillanatban felfogható egy-egy olyan rezgési állapotnak, amely szinuszos rezgések eredménye. Egy-egy időállapot 0 (nulla) hosszúságú időnek tekinthető. Ha a teljes hangjelenséget – amelynek van kezdete és vége – szintetikus módon akarjuk nagyon pontosan előállítani, akkor a hangjelenségben végtelen számú (ahogy a matekosok mondják, megszámlálhatóan végtelen halmazt alkotó) olyan időpillanatot találunk, amelyek szinuszos jelek eredői. Ez matematikailag teljesen igaz. Nincs más dolgunk, mint e végtelen számú összetett jelet egyenként paraméterezni, tehát meghatározni, hogy egy-egy időpillanat a teljes jelben melyik pillanat, abban a pillanatban a jel hány szinuszból tevődik össze, e szinuszok külön-külön milyen frekvenciájúak, mekkora az amplitúdójuk, és egymáshoz képest milyen a fázisuk. Mivel szinuszokról van szó, nincs több paraméterük, szerencsére. Közbevetheted, hogy végtelen számú időpillanat rezgésállapotait csak végtelen idő alatt lehet megadni, és igazad is van első ránézésre. Matematikai értelemben ugyanis miért ne lehetne nulla idő alatt végtelen mennyiségű paramétert megadni? .
A fizika azonban belepofázik ebbe a nulla-végtelen csodaszép világba. Ugyanis a 20. század fizikusai rájöttek, hogy nem is kell megállítani az időt ahhoz, hogy bizonyítható legyen a pontos paraméterezés lehetetlensége. A mikrovilágban – ideértve a mikroidejű folyamatokat is – ugyanis minél pontosabban határozunk meg egy paramétert, annál kevésbé tudunk bármit is mondani a többiről. A mikrovilág a véletlenszerűségek, a valószínűségek világa, ahol csupán vannak olyan események, amelyek lehetségesek. Valamelyik biztosan bekövetkezik, de hogy melyik, azt előre nem lehet megmondani, csak azt, hogy mekkora eséllyel következik be. (A makrovilág is valószínűségi világ, de ott egyes esélyek jóval nagyobbak más esélyeknél.) Ez konkrétan azt jelenti, hogy még ha tökéletes szinuszaink és eszközeink is lennének, akkor sem lennénk képesek mindenféle hangot bármelyen kicsi időben nézve szintetikusan előállítani.
Baj ez? Úgy tűnik, nem baj, hiszen messze vagyunk még attól, hogy a hangszintézisnek ilyen apróságokkal kelljen törődnie. Abból a szempontból azonban kellemetlen, hogy tudomásul kell vennünk, hogy a szinuszos (vagy bármilyen) jelek összeadásával megvalósított szintézis egy határon túl nem finomítható elvileg sem. Vagyis egy határ átlépése után minél pontosabban akarunk szintetizálni, annál kevésbé fog sikerülni. Ettől még nem dől össze a világ, szinuszos jelek összegzésével, vagy ahogy ettől kezdve hívjuk, additív szintézissel is nagyon izgalmas hangzásokat lehet előidézni, erre példa a következő videó.
Ilyen bonyolult dolgokat egyelőre nem csinálunk, kezdetnek elég lesz egy fűrészrezgés szintetizálása folyamatának bemutatása. Az alábbi videón azt láthatod, hogyan jön létre egy fűrészrezgés egyre több szinusz hozzáadásával.
Ugyanez egy animáción:

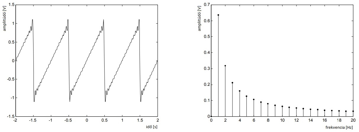
Mivel a fűrészrezgés harmonikus rezgés, tehát az alaphangnak csak egész számú többszöröséből épül föl, a részrezgéseket mutató spektrumképe vonalas, egy-egy vonal egy-egy szinuszrezgés frekvenciáját és nagyságát mutatja.

Az ábrán relatív egységekben skálázták a tengelyeket, tehát ami pl. a frekvencia tengelyen 2, az azt jelenti, hogy az alaphang frekvenciájának duplája. A tökéletes fűrészjel az alapfrekvencia összes felharmonikusát, az alapfrekvencia valamennyi egész számú többszörösét tartalmazza, tehát megint a végtelennél tartunk. A valóságban nincs tökéletes fűrészjel, ezért nincs is szükség a szintetizáláshoz nagyon sok szinuszos jelre. Ha emlékszel még a Hammond orgonára, a hangkerekek ott is csak kilenc összetevőt indukáltak a tekercsekben (lásd a sorozat 198. részét). Most sincs más dolgunk, mint néhány elektronikus oszcillátor jelét összegeznünk. Már csak azért sincs szükség a végtelenül pontos fűrészjelre, mert a hallórendszerünk frekvenciatartománya sem végtelen. Mivel az egyes felhangok nagysága különböző, az összegzés előtt erősítőkkel kell beállítani az összetevők nagyságát. A rezgést pedig valahogyan rá kell kapcsolni az erősítőkre, illetve, amikor azt akarjuk, hogy a hang megszűnjék, le kell kapcsolnunk róluk.

Ezzel a nagyon egyszerű összegző, additív szintetizátorral azonban még sok baj van. Először is, csak egyetlen magasságú hangot állít elő. Ha többféle hangmagasságú hangot szeretnénk, akkor az egyik megoldás, hogy hangolhatóvá tesszük az oszcillátorokat. Tegyük föl, hogy a különböző hangmagasságokat egy-egy billentyű váltja át. Ez akkor jó megoldás, ha egyszerre csak egyetlen hangot akarunk megszólaltatni, vagyis megelégszünk a monofon szintetizátorral. Ha viszont egyszerre több hangon szeretnénk játszani, akkor minden oszcillátorból annyi kell, ahány hangot akarunk egyidejűleg megszólaltatni. Ha tízet, akkor a példa szerint 200 oszcillátorra volna szükség, ráadásul 10 lehetőség – tízes polifónia – nem is mindig elegendő. Hogyhogy nem? Hiszen csak tíz ujjunk van, és négykezest ritkán játszunk szintetizátorral. Amikor lenyomtunk egy billentyűt, megszólalt egy hang. Aztán mellé nyomunk egy másik billentyűt. Ekkor az előző hang azonnal elhallgat, és megszólal a másik. A valóságban azonban nem szűnik meg azonnal az előző hang, hanem még szól egy ideig. Az volna a jó, ha a szintetizátorunk ugyanígy működne, vagyis akárhány hang tudna szólni egyszerre: a cél a minél teljesebb polifónia. Ez ugyan additív szintézissel is megvalósítható, csak nagyon körülményesen – legalábbis analóg áramkörökkel. Digitálisan könnyebb, ezért az elektronikus additív szintetizátorok digitálisak. S máris fölsejlett a másik gond. Ha egyből szólal meg egy hang, és sokáig ugyanúgy szól, az unalmas. A Hammond orgona esetén ezen úgy próbáltak segíteni, hogy vibrátót, tremolót, kórus-effektet zengetőt és végül Leslie hangsugárzót használtak hozzá. Ezzel azonban nem nyúltak bele a hang szerkezetébe.
A valódi hangok valahogyan elkezdődnek, felépülnek, elérik a maximális szintet, kicsit visszaesnek, aztán egy ideig állandóan szólnak, végül lassabban vagy gyorsabban elhallgatnak. Jól emlékszel, ez a már sokszor emlegetett ADSR, ebben az esetben az amplitúdó ADSR.

Az idő függvényében tehát – az adott hangszerre jellemzően – változik a jel nagysága. De nemcsak ez, hanem a spektrum-összetevők szintje is. Például amikor egy húr lecseng, egyre tompább lesz a hangja. Ez utóbbi a frekvencia ADSR. Az összegző után kapcsoljunk hát egy-egy változtatható erősítésű erősítőt és egy olyan szűrőt, amelynek frekvencia átviteli jellemzői változtathatók.

A fenti ábrán látható, hogy most az összegző előtti áramkörök folyamatosan működnek, a hangot az ADSR-ek-et létrehozó generátorok bekapcsolásával indítjuk, egy ezt a célt szolgáló speciális jel, a triggerjel segítségével. Az ADSR-t magyarul burkolónak, külföldiül envelope-nek nevezik. Megjegyzem, semmi szükség nem volna ADSR-re, ha a hangot minden pillanatban külön-külön állítanánk elő. Egyes digitális additív szintetizátorok így is működnek. Természetesen nem végtelenül sok rezgést produkálnak, hiszen a hallórendszerünk időbeli felbontása is véges. A digitális additív szintetizátorokkal 32, 64, 128 vagy akár 256 harmonikus amplitúdóinak egyenkénti manipulálása is lehetséges.
Már egészen baba hangokat lehet a legutóbbi ábra alapján előállítani, azonban ezek még mindig nem elég természetesek, még mindig túl egyformák, unalmasak. Ezért nagyon kisfrekvenciás, néhány Hz rezgésszámú oszcillátorokkal, rövidítve LFO-kkal megzavarjuk, moduláljuk az oszcillátorok jelét, s ezen LFO-kra is ráengedünk amplitúdó és frekvencia ADSR-t. Az egyes hangokhoz tartozó oszcillátorokat nem a matematikailag lehető legpontosabb felhangokra hangoljuk, hanem a magasabb harmonikusok esetén pár centtel följebb, ettől kicsit fényesebb lesz a hangjuk. Ugyanarra a hangmagasságra több oszcillátort is hangolhatunk, de kicsit széthangolva egymástól. Ez vastagabbá, testesebbé teszi a hangzást. Az akusztikus hangszerek világában példa erre a zongora, amelyben a magasabb hangokhoz három-három húr tartozik. Az egyszerűbb felépítés érdekében ezeket az oszcillátorokat csoportosan manipuláljuk. A legtöbb akusztikus hangszer nemcsak „hasznos” hangot állít elő, hanem zajt is. Ez a zaj azonban nagyon is jellemző a hangszerre, pl. a fuvola hangjához a szélzaj is hozzátartozik. Ezért az additív szintetizátorok zajt előállító generátort is tartalmaznak, s a zaj jellege is változtatható. A következő ábra egy négyoszcillátoros, zajgenerátorral kiegészített additív szintetizátor egyik hangjának előállítását szemlélteti. Kicsit másfajta, mint az előző példa, mert a „hasznos” hangok esetén nincs vezérelhető szűrő, hanem minden egyes, az oszcillátor hangerejét beállító erősítő kapott amplitúdó ADSR-t. Ez ugyan némileg bonyolultabb felépítést jelent, de sokkal jobban hasonlít a digitális additív szintetizátorok felépítéséhez.

Annak érdekében, hogy a szintetizátorral minél többféle hangot, hangzást lehessen létrehozni, az oszcillátoroknak nem kell feltétlenül szinuszosoknak lenniük. Ilyenkor már szó nincs a Fourier elvről, de ez pöppet sem zavaró. Hiszen bármilyen jelet lehet a többivel összegezni, hozzákeverni.
Tisztán additív vas nagyon kevés készült. Ezek egyike volt Kurzweil K150, amely igen termetes, rack rendszerű, billentyűzet nélküli jószág volt. 1986-ban kezdték árusítani.

A 16-szoros polifóniát lehetővé tevő monstrumban 240 oszcillátor volt. Elsősorban szerzői szintetizátorként használták. A programozása Apple II. számítógéppel volt lehetséges. Szinte minden paraméterét lehetett programozni, de hónapokig tartott, ameddig a korabeli felhasználók kiismerték magukat rajta.
Színpadon is lehetett muzsikálni a Kawai cég K5 típusú hangszerén.

A K5 digitális hangszer. 61 billentyűje van, a teljes hangtartomány 5 oktáv. Polifonikus hangszer, de csak 16 különböző magasságú hang szólaltatható meg egyidejűleg. Két digitális oszcillátor (DFG) állítja elő az alapjeleket, és mindkettőhöz tartozik egy-egy digitális harmonikus generátor (DHG), ami a digitális oszcillátor jeléből állít elő harmonikusokat. Aztán egy-egy digitális dinamikus szűrő (DDF), valamint egy-egy digitális dinamikus erősítő (DDA) következik. A dinamikus azt jelenti, hogy az erősítő, illetve a szűrő tulajdonságai ADSR burkolóval módosíthatók. Továbbá van benne egy-egy LFO, amelynek hullámformája emelkedő fűrész, süllyedő fűrész, háromszög és négyszög lehet, valamint késleltetni is tud. Az egy-egy digitális formáns szűrő (DFT) funkciója megfelel az analóg, 11 sávos grafikus kiegyenlítőnek (lásd a sorozat 78. részét.) Ahogy a legtöbb szintetizátorban, úgy a K5-ben is van billentyűzet méretezés (keyboard scaling vagy key scaling). Ez nem azt jelenti, hogy a billentyűk fizikai méretét lehet megváltoztatni, hanem azt, hogy hogyan módosuljon a hang, ha egy billentyűt lenyomunk. Pl. az egyes effektek milyen gyorsan működjenek, vagy hogyan változzon a hangerő. A K5 minden hangja 63 vagy 126 harmonikusból építkezik. A 126 úgy jön ki, hogy a hangszer két oszcillátorára épül a két rendszer, és ezek egymással különféle módokon kombinálhatók. Akár egyenként is beállítható az egyes harmonikusok szintje, de mivel ez sokáig tartana, a K5-ben vannak segítő eszközök, amelyekkel csoportokat lehet képezni. A hangszeren egyidejűleg 15 hangszínen szólalhatnak meg a hangok. A többhangszínűséget multitimbrialitásnak nevezünk, ha van kedvünk nyelvtörőt játszani. Az effektek között zengető, hangmagasság változtató (pitch) és modulációs kerék is van. Természetesen az ADSR beállítások is változtathatók.

A szintetizátorba memóriakártya dugható, amelyre a felhasználó által készített vagy máshonnan letöltött hangszínek menthetők el, illetve tölthetők be a kütyübe. Az 1987-ben forgalomba került cucc teljes mértékben vezérelhető midivel, korabeli ára kb. 2 000 dollár volt, mostanában 2-300 dollárért vesztegetik az ócskapiacokon.
Az ezredforduló előtt, 1996-tól 1999-ig gyártotta a Kawai a K 5000S jelű hangszert, amely azonban már nemcsak additív szintézissel állított elő hangokat, hanem PCM hangmintákkal is dolgozott, és a felhasználó is rajzolhatott hullámformákat. A listaára 1500 dollár volt, használtan 300-600 dollárért lehet kifogni egy-egy példányt.
Mi tagadás, sokkal szebb a hangja, mint a 10 évvel korábbi elődjének.
A következő két kompozíciót ezzel a hangszerrel állították elő.
A Kawai 5000-nek is létezett billentyűzet nélküli, rack változata.
Miként a vasak, úgy a bővítmények között is kevés az additív szintetizátor, főként ingyen. Viszont az ADHDidi kedves jószág.

16 oszcillátora van, amelyeknek hullámformája szinusz, háromszög, fűrész és négyszög is lehet. A VSTi bővítmény zip tömörítésű filéként windows operációs rendszerhez innen tölthető le:
http://www.vst4free.com/free_vst.php?plugin=ADHDidi&id=2469

Kicsomagolás után a filéket a számítógépes hangmunkaállomás bővítmények (plugins) mappájába kell másolnod. A munkaállomás elindítását követően be kell hívnod az „ADHDidi(x86) (saltline)” bővítményt.

Csatlakoztass a PC-hez midi billentyűzetet, vagy kapcsold be a munkaállomás virtuális midi billentyűzetét!

A kezdeti lépésekben segít a videó.
Jóval egyszerűbbnek látszik a szintén ingyenes Harmonaut bővítmény.

32 szinuszos, háromszög, fűrész és négyszög oszcillátor szintje állítható be egérrel, s ugyanígy módosíthatjuk az ADSR jellemzőket is mind a 32 oszcillátoron. Van még benne aluláteresztő és felüláteresztő szűrő, LFO, valamit kórus áramkör. 64 gyári beállítás közül választhatsz, és a saját változatokat is bármikor használhatod, ha előtte elmentetted. Midivel is vezérelhető. Innen tölthető le a zip filé:
http://vst4free.com/free_vst.php?plugin=Harmonaut&id=1668

Letöltés után csomagold ki a tömörített filét, majd az egészet másold be a hangmunkaállomásod bővítmények (plugins) mappájába! A szokásos módon, a munkaállomás elindítását követően be kell hívnod a „Harmonaut (x86) (Eugen Danchenko)” bővítményt.

Ne felejtsd el, hogy érdemes midi billentyűzetet dugni a PC-hez, vagy kapcsold be a munkaállomás virtuális midi billentyűzetét!

Ehhez is tartozik bemutató videó.
Jóval részletesebben ismertetik a Harmonautot a következő videók, bár tapasztalataim szerint a gyári beállításokkal is nagyon jókat lehet játszani. Noha a bővítmény monofonikus, ha sok sávra tudsz rögzíteni, egészen gazdag, többszólamú nótákat készíthetsz vele.